Editors’ Picks
Non-cancer-related Deaths in Cancer Survivors: A Nationwide Population-based Study in Japan
Authors
Yasufumi Gon, Ling Zha, Toshitaka Morishima, Yasuyoshi Kimura, Kanako Asai, Haruka Kudo, Tsutomu Sasaki, Hideki Mochizuki, Isao Miyashiro, Tomotaka Sobue
J-Stage
Highliths
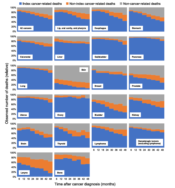
- Non-cancer-related disease death increased over time, from 10.2% at 6 months to 31.6% at 4 years post-diagnosis.
- Heart disease, cerebrovascular disease, and pneumonia were the leading causes of non-cancer-related mortality.
- The suicide mortality risk lost significance in males and females 2- and 2.5-years post-diagnosis, respectively.
- Non-cancer deaths among cancer patients increased over time, emphasizing the need for managing comorbidities.
Selected Result




