Most Accessed
Sex Differences in Birth Weight and Physical Activity in Japanese Schoolchildren
Authors
Mitsuya Yamakita, Miri Sato, Kohta Suzuki, Daisuke Ando, Zentaro Yamagata
J-Stage
https://www.jstage.jst.go.jp/article/jea/28/7/28_JE20170078/_article
PMC
https://www.ncbi.nlm.nih.gov/pmc/articles/PMC6004363/
Highlights
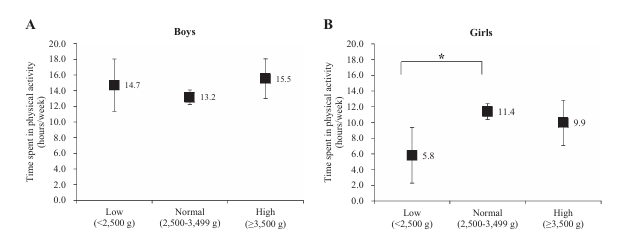
- Lower birth weight is associated with increased chronic disease risk later in life.
- Physical activity in childhood may partly explain this association.
- We examined birth weight and physical activity in Japanese school-aged children.
- Girls with low birth weight were less likely to be physically active, but not boys.
Selected Result




