Most Accessed
Sex-specific Relationship Between Stress Coping Strategies and All-cause Mortality: Japan Multi-Institutional Collaborative Cohort Study
Authors
Mako Nagayoshi, Kenji Takeuchi, Yudai Tamada, Yasufumi Kato, Yoko Kubo, Rieko Okada, Takashi Tamura, Asahi Hishida, Jun Otonari, Hiroaki Ikezaki, Yuichiro Nishida, Chisato Shimanoe, Yuriko N. Koyanagi, Keitaro Matsuo, Haruo Mikami, Miho Kusakabe, Daisaku Nishimoto, Keiichi Shibuya, Sadao Suzuki, Takeshi Nishiyama, Etsuko Ozaki, Isao Watanabe, Kiyonori Kuriki, Naoyuki Takashima, Aya Kadota, Kokichi Arisawa, Sakurako Katsuura-Kamano, Kenji Wakai
J-Stage
Highlights
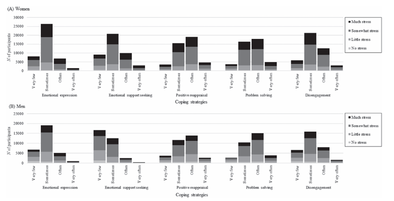
- People who used specific coping strategies had an overall lower risk of all-cause mortality than those with “very few” coping strategies in a large population in Japan.
- The relationships between coping strategies and all-cause mortality were all independent of perceived stress levels.
- Our results showed that using coping strategies of emotional expression, emotional support-seeking, and disengagement attitude were associated with lower mortality in women, whereas using coping strategies of emotional expression, positive reappraisal, and problem-solving were associated with lower mortality in men.
- Our results on the interaction between the emotional support-seeking and sex provide evidence suggesting the importance of exploring sex differences to clarify how to intervene depending on the attributes of the target population to prevent mortality.
Selected Result




